In Italy, the day-ahead electricity market follows the rule of marginal price, over six physical zones.
Network congestion can produce different prices in different zones, i.e. the market splitting. This means that energy can have different value in the Nation.
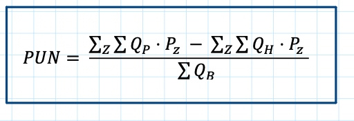
By design, it was decided that consumer should pay the electricity at the same price wherever in Italy. This price is the PUN: Prezzo Unico Nazionale that means National Unique Price.
Marginal offers
Example, 9th Sept. 2020, hour 1
PUN value is €44.76291
SOCI splits from the continent with a zonal price of 82.35. On the other zones, the zonal price is of €42.11 and the marginal offer lays on SUD zone.
SICI curves
SUD curves
Market data comes from GME www.mercatoelettrico.org
Calculations and simulations made with PowerSchedO : www.powerschedo.it
For more informations email at : team@powerschedo.it
What is the PUN and how it is calculated
ultima modifica: 2020-10-06T14:55:44+02:00
da







